Skip to main content
FAQs
Complain
Problems
Search form
Search
X
info@dipayalsilgadhimun.gov.np
दिपायल सिलगढी नगरपालिका, डोटी
दिपायल सिलगढी नगर स्वच्छ,समुन्नत र शिक्षित बनाउने हामी सबै को रहर
Search form
Search
गृहपृष्ठ
परिचय
संगठनात्मक स्वरुप
जन प्रतिनिधि
कर्मचारी विवरण
पूर्व कर्मचारी
श्रोत नक्सा
वडा कार्यालयहरु
कार्यक्रम तथा परियोजना
बजेट तथा कार्यक्रम
योजना तथा परियोजना
आय व्यय विवरण
२०७८-०७९ को आय र व्ययको अनुमान
विधुतीय शुसासन सेवा
घटना दर्ता
सामाजिक सुरक्षा
नागरिक वडापत्र
नमुना फारमहरु
प्रतिवेदन
मासिक प्रगति प्रतिवेदन
चौमासिक प्रगति प्रतिवेदन
वार्षिक प्रगति प्रतिवेदन
लेखा परीक्षण प्रतिवेदन
अनुगमन प्रतिवेदन
सार्वजनिक सुनुवाई
सार्वजनिक परीक्षण
सामाजिक परिक्षण
प्रकाशन
सूचना तथा जानकारी
सूचना तथा समाचार
सार्वजनिक खरिद/बोलपत्र सूचना
ऐन कानुन निर्देशिका
कर तथा शुल्कहरु
निर्णयहरु
नगर सभाका निर्णयहरु
नगरपालिका बोर्डको निर्णयहरु
नगरपालिकाका निर्णयहरु
ग्यालरी
सम्पर्क
Exam Form
गाईकाे साना ब्यवसायि कृषि उत्पादन केन्द्र (पकेट)बिकास कार्यक्रम बारे सुचना
मध्यमकालीन खर्च संरचना
विषयगत शाखा
रोजगार शाखा
शिक्षा शाखा
स्वास्थ्य शाखा
You are here
Home
» Invitation for Bids
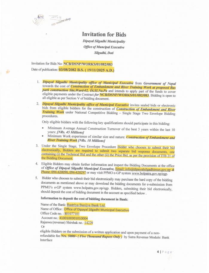
Invitation for Bids
Submitted on:
Wed, 11/19/2025 - 14:30
प्रकार:
सार्वजनिक खरीद / बोलपत्र सूचना
आर्थिक वर्ष:
२०८२/०८३